禁漫

  1. HOME»
  2. News»
  3. The latest news

The Quality and Safety Research Group of The Institute of Vegetables and Flowers Developed Quercetin Nanocomposite Film Supported by MOFs for Strawberry Preservation

2024-04-24
【字体:

Recently, the Quality and Safety Group of the Institute of Vegetables and Flowers, Chinese Academy of Agricultural Sciences (CAAS) has made important progress in the preparation of MOFs nanocomposite membranes and strawberry freshness preservation. For the first time, quercetin supported by MOFs and combined with graphene-silver nanoparticles were used to construct a novel nanocomposite membrane for strawberry preservation. The relevant research results are entitled "Preparation and characterization of quercetin@ZIF-L/GO@AgNPs nanocomposite film for room-temperature strawberry. preservation "in Food Chemistry (IF=8.8, Q1).

1.jpg

Strawberry is rich in nutritional value, known as the "Queen of Fruits", popular with consumers. However, its high moisture content, crisp and thin skin, extremely easy to rot and deteriorate, not resistant to storage and transportation, seriously restricting the development of strawberry industry. At present, there is an important means to extend the shelf life of fruits and vegetables, which is to use nanomaterials combined with antibacterial active substances to prepare new green and efficient plastic wrap. In the early stage, our team not only successfully prepared a variety of new porous nanomaterials, but also achieved a series of research breakthroughs in the extraction, enrichment, separation, detection and load release of bioactive substances such as caffeine, theanine, sulforaphane, and indole-3-methanol. Quercetin is a flavonoid compound, found in many plants and has a variety of biological activities including antibacterial, antioxidant, anti-inflammatory, and antiviral. Although adding quercetin to plastic wrap can improve the antibacterial ability of plastic wrap, its stability is poor, and it is easy to degrade during processing and storage, resulting in low effective utilization rate. ZIF-L, as a blade-like metal-organic framework materials (MOFs), has high specific surface area and large porosity, which can provide effective binding sites for quercetin loading, and thus significantly improve the processing stability of quercetin. At the same time, silver nanoparticles (AgNPs) and graphene oxide (GO) also have certain antibacterial properties. When quercetin is loaded with ZIF-L and combined with the antibacterial activity of GO and AgNPs, the multi-dimensional coupling in PVDF membrane can effectively improve the bacteriostatic preservation performance of nanocomposite membrane.

Based on the above design ideas, in this study, leaf shaped ZIF-L was prepared by in-situ polymerization for the nano adsorption and loading of quercetin. Combined with the collaborative bacteriostatic effect of GO@AgNPs, Quercetin@ZIF-L/GO@AgNPs nanocomposite membranes were prepared for the first time. Secondly, the structurally homogeneous nanocomposite membranes with excellent performance were finally obtained by characterizing and optimizing the performance parameters of nanocomposite membranes, such as permeability, retention rate, water flux and SEM, AFM and contact angle. The results show that the adsorption capacity of ZIF-L for quercetin can reach 96%, and Quercetin@ZIF-L can improve the preservation performance of nanocomposite films to a certain extent. However, the water vapor transmittance and water flux are higher, which is not conducive to extending the fresh life of strawberry. In contrast, Quercetin@ZIF-L/GO@AgNPs nanocomposite membranes both synergistically inhibited bacteria and reduced membrane permeability and light transmittance, which significantly prolonged the shelf life of strawberries. Among these, 10% Quercetin@ZIF-L/10% GO@AgNPs had the best freshness preservation performance, which could keep strawberries free of obvious mold and decay at room temperature and humidity for 8 days. In addition, the metal ion migration experiment proved that the average migration of silver and zinc ions in nanocomposite film is extremely low, which is in line with the EU food safety standards.

Institute of Vegetables and Flowers, Chinese Academy of Agricultural Sciences (CAAS) is the first unit to complete the paper. Master students Chen Yin and Xin Ding and doctoral student Zhihao Lin are the co-first authors of the paper, and Professor Donghui Xu, Professor Jian Wang (Hebei North University) and Professor Guangyang Liu are the co-corresponding authors. The research was carried out in the State Key Laboratory of Vegetable Biological Breeding and Key Laboratory of Vegetables Quality and Safety Control, supported by National Key Research and Development Program of China, the National Bulk Vegetable Industry Technology System, Beijing Natural Science Foundation, and Agricultural science and technology Innovation Project of the Chinese Academy of Agricultural Sciences.

Web site of the paper://www.sciencedirect.com/science/article/pii/S0308814624010616



图片4.jpg

Fig. 1 Process flow chart for the preparation of Quercetin@ZIF-L/GO@AgNPs nanocomposite membranes



图片3.jpg

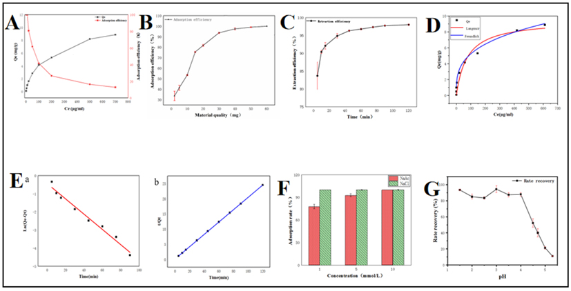
Fig. 2 Effect of initial quercetin concentration (A), effect of ZIF-L adsorbent mass (B), effect of adsorption time (C), salt-ion concentration interference test (D), pH-responsive release test (E), salt-ion concentration interference test (F), and pH-responsive release test (G)



图片5.jpg

Fig 3. Different types of nanoclams: Quercetin@ZIF-L film, Quercetin@ZIF-L film with 5% and 10% GO@AgNPs added



图片1.jpg

Fig 4. Freshness preservation performance of different materials on strawberries. Blank control group (A), pure PVDF membrane (B), 15% ZIF-L (C), Quercetin@ZIF-L membrane (D), Quercetin@ZIF-L membrane supplemented with 1% (E), 5% (F), 10% (G) and 15% (H) GO@AgNPs